








Định Hướng Phát Triển Năng Lực Toán 8 - Tập 1
Cuốn sách “Định hướng phát triển năng lực Toán 8 – Tập một” bám sát sách giáo khoa Toán lớp 8 – Tập một, bộ sách giáo khoa Kết nối tri thức với cuộc sống, nhằm giúp các em học sinh lớp 8 có một tài li...

Nhà sách Anh Thành
@nha-sach-anh-thanhĐánh giá
Theo Dõi
Nhận xét
Cuốn sách “Định hướng phát triển năng lực Toán 8 – Tập một” bám sát sách giáo khoa Toán lớp 8 – Tập một, bộ sách giáo khoa Kết nối tri thức với cuộc sống, nhằm giúp các em học sinh lớp 8 có một tài liệu để học tốt môn Toán lớp 8. Mỗi bài học được thiết kế bao gồm phần tóm tắt kiến thức cần nhớ, bài tập cơ bản và bài tập mở rộng. Cuối mỗi bài là hướng dẫn giải cho các bài tập cơ bản và bài tập mở rộng. Việc tự giải các bài toán theo cấu trúc này sẽ giúp các em học sinh phát triển năng lực tư duy Toán học. Phần tóm tắt kiến thức cần nhớ Bài tập cơ bản và bài tập mở rộng Hướng dẫn giải cho các bài tập Chúng tôi thật sự tin rằng cuốn sách sẽ là tài liệu tham khảo bổ ích giúp các em học Toán ngày càng giỏi hơn. Trong quá trình biên soạn, mặc dù các tác giả đã hết sức cố gắng, nhưng cuốn sách chắc chắn vẫn còn những thiếu sót nhất định. Rất mong nhận được ý kiến đóng góp từ bạn đọc để cuốn sách được hoàn thiện hơn. Nhà Sách luôn luôn cập nhật những đầu sách mới nhất để các khách hàng tiện theo dõi. Và để khách hàng dễ dàng hơn trong việc lựa chọn, nhà sách online chúng tôi còn chia sẻ những review của bạn đọc. Để phục vụ bạn đọc ở khắp mọi nơi, Nhà Sách Anh Thành thực hiện chương trình miễn phí phí vận chuyển cho những đơn hàng trên phạm vi toàn quốc.Nếu có bất kỳ thắc mắc về sản phẩm, vui lòng liên hệ ngay với chúng tôi trong phần chat. Chúng tôi luôn ở đây và sẵn sàng giải đáp cho bạn!#sach #sachkinang #nhasach #sachmoi #nhasachonline #thanhanbooks #truyen #tieuthuyet #yhoc #dinhduong #suckhoe #sachykhoa #sachdinhduong #nhasachthanhanhcm #sachthamkhao #sachvanhoc #sachluyenthi #sachtongiao #sachphatgiao #sachthethao #sachkinhte #sachdienanh #dinhhuong #phattrien #nangluc #toan8 #tap1 #nxbdaihocsupham #nguyenductan #bamsatsgk #ketnoitrithucvoicuocsong #2023#anhthanh . vn hân hạnh giới thiệu đến bạn đọcGiá sản phẩm trên Tiki đã bao gồm thuế theo luật hiện hành. Bên cạnh đó, tuỳ vào loại sản phẩm, hình thức và địa chỉ giao hàng mà có thể phát sinh thêm chi phí khác như phí vận chuyển, phụ phí hàng cồng kềnh, thuế nhập khẩu (đối với đơn hàng giao từ nước ngoài có giá trị trên 1 triệu đồng).....
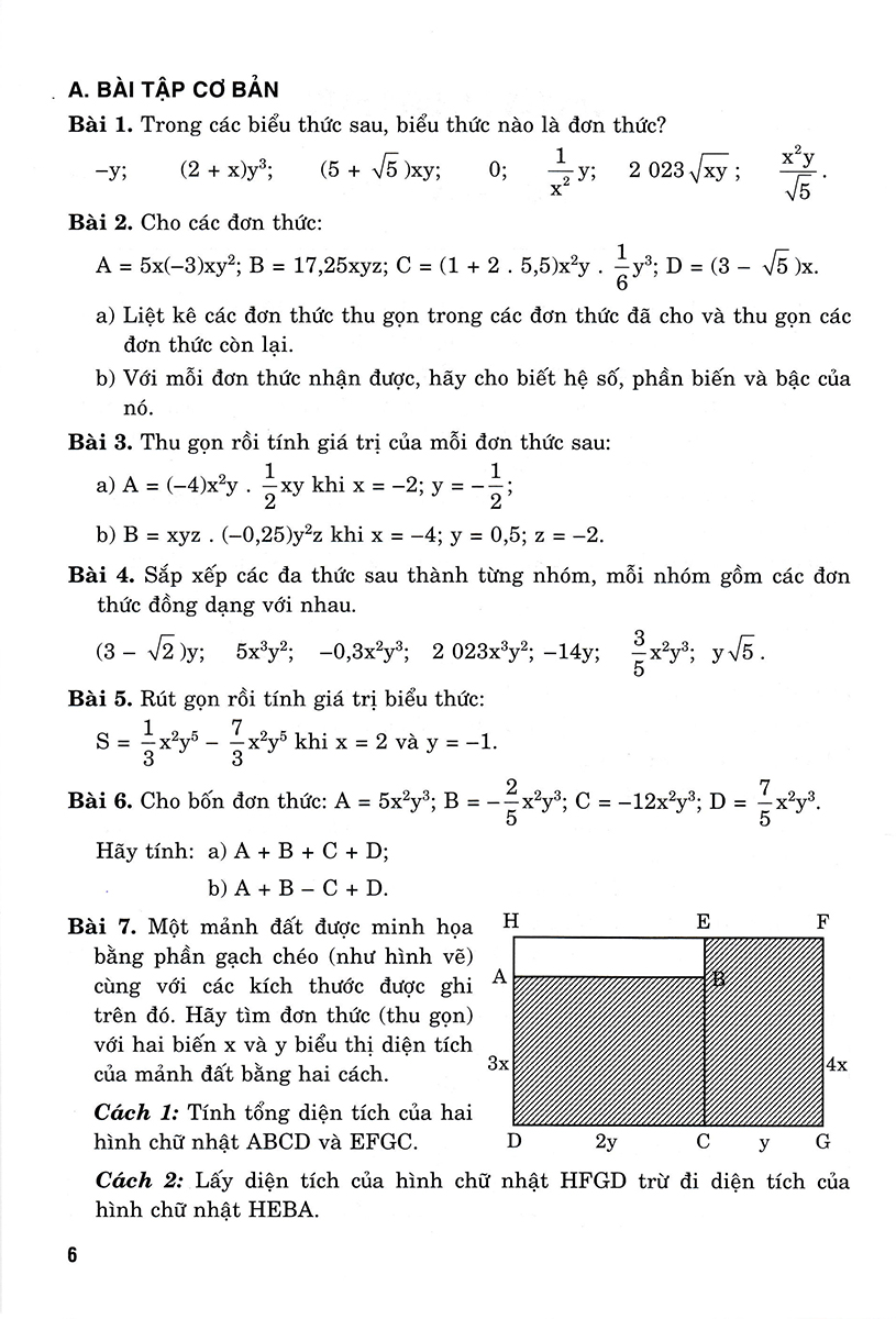
Sản Phẩm Tương Tự
Sản Phẩm Liên Quan
Sách 40 đề luyện thi vào lớp 10 Tiếng Anh cô Trang Anh dành cho học sinh lớp 9 Moonbook
119.000₫
Đã bán 2



















